Hello, my name is John T. Nordberg. I am claiming I have the first working grand unification theory. When I say it is "working" it is because this theory makes certain testable predictions that work. (See Videos below) These predictions range from the study of simple electromagnetics in spherical patterns, to the structure of the stars, predicting sunspots, and to how the Big Bang worked. Not all of these predictions are easy to prove experimentally. In order to make my claim plausible to you, to get you hooked, so that you will give me a chance and read further, I present here a simple experiment that you could perform*. (See the legal disclaimer in the next paragraph.) This experiment cost me about $250 -- not counting the video equipment, the computer equipment and the software that I use to present this to you. You probably could duplicate the experiment for under $50 if you already own a common automobile battery charger to use as a source of current.
(*Perform at your own risk. I have performed this experiment so you do not have to. Do not try this experiment unless you are an adult who is qualified with the knowledge of how to safely handle and use electricity, or are under supervision by and equally qualified legal guardian. This experiment involves the use of electricity. Incorrect use of electricity can result in shock, injury, or even death. If you perform this experiment, then you are responsible for your actions, you are responsible for damage you might cause, you are responsible for your safety, you are responsible for the safety of others around you while performing this experiment. I recommend performing this experiment only for brief periods of time -- under 10 seconds -- with voltages of 24 Volts or less. Do not let the spheres become hot. Performing this experiment with moderate or high voltages, or for periods longer than 10 seconds, could cause the wires and spheres to explode. The explosions could result from the exploding wire phenomenon or from heating of the enclosed gases within the sphere.)
A quick summary of The Ball of Light Particle Model is encapsulated in the following graphic:

Summary of the Ball of Light Particle Model
(Three Dimensional Soliton of Electric, Magnetic, and Gravitational Fields)
Examine this graphic closely. I made it large for so you can see all of the details. The blue arrows represent the electric field. For example, imagine a current flowing over a conducting sphere. The magenta arrows represent the magnetic field. The magnetic field will be induced at a right angle to the electric field. The black "X" represents the cross product. Vector E cross vector B is equal to the Gravitational Field vector G in green. (This is not the small "g" which represents gravity, nor large "G" which represents the gravitational constant.) The two black dots are arbitrary points on the sphere where the cross product is examined. The vector G always points to the center of the sphere. (That is where gravity comes from.)
The Ball of Light Particle Model says that photons of light are moving spherical waves of electric, magnetic and gravitational fields. Further, it predicts that elementary particles of matter are made of superimposed standing waves of electric, magnetic and gravitational fields. (The "Strong" and "Weak" nuclear forces derive from these three fundamental forces.)
First, I have had people scoff at my theory simply because they have never been taught anything about "spherical waves" in their traditional physics curriculum. For example, my college physics book, Physics Third Edition by David Halliday and Robert Resnick, lists under "Waves, complex" the sub-topics: electromagnetic, longitudinal, mechanical, periodic, plane polarized, train of, transverse. Most people remember the study of longitudinal and transverse waves but have never studied spherical waves. There is no "electromagneticgravitational", no "spherical", no "spherically polarized", etc. . (I have searched literature unsuccessfully for information on spherical waves of electric and magnetic fields, so maybe I simply a pioneer in this area of physics.)
Second, traditional electromagnetic theory states that a magnetic field will wrap around a current carrying wire according to the "Right Hand Rule." This can be summarized by the following graphic.

Magnetic Field from Current according to Right Hand Rule
The Ball of Light Particle Model predicts that
the magnetic field in a current carrying wire does not
always follow the Right Hand Rule!
For example, in high current conditions, like in nuclear fusion reactors, or in lightning strikes, the following graphic is descriptive of what really happens.

(High current condition with alternating Magnetic field directions.)
The Ball of Light Particle predicts that when electric, magnetic, and gravitational fields form spherical waves -- which I believe is natural -- that the magnetic field will at times obey the Left Hand Rule.
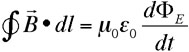
To test The Ball of Light Particle, I decided to create an experiment that would directly show, that in a spherical electromagnetic wave, the Magnetic Field would alternate directions. I wanted the average person to be able to detect the changes in the magnetic field with a typical compass. Further, I wanted the experimental setup to use low voltage, low current conditions. (Actually, "High Voltage" is not the key anyway.) The specific equation in physics that is key is:

This simply states that the Magnetic field "B" is proportional to the current "i". (In the videos, I used DC power supply set at about 26 volts but have seen this result with lower voltages.)
To keep the current conditions low, and still have spherical fields, I decided to have a current flowing over hollow metal spheres. In the setup, I use 3 spheres. Since an ordinary compass must be held level in order to work, I decided to have the current flowing vertically through the spheres. This ensures that the magnetic fields are horizontal. This required some kind of mechanical structure to hold the spheres in a vertically stacked alignment. I used vertical pieces of wood -- about 1 inch by 1 inch by 36 inches -- attached to a piece of scrap wood that I had laying around.

The current was directed from a power supply through wires and two vertically oriented brass rods placed above and below the spheres. The purpose of the brass rods was to control the current's direction as it entered the top and bottom poles of the spheres.
[Note: This experiment is sensitive to a number of variables. First, if the top or bottom pole (electrode) is not aligned to the top or bottom pole of the sphere(s) used -- that is the electrodes are off-center -- then this could affect the results. Second, the strength of the magnetized compass needle -- for each of the compasses -- is unlikely to be identical. This could give the wrong impression to someone who notices that the needles do not deflect equally. Third, I have performed this experiment with the compasses on each of the sides -- North, South, East, or West -- of the spheres. However, with weak currents and weak compass needles -- in the Northern Hemisphere -- results are more noticeable if the compasses are aligned on the south side of the spheres -- a smaller deflecting force is needed in this orientation. Finally, if the composition of the spheres is stainless steel -- or some other form of metal that can become magnetized -- then the spheres can become magnetized in direction of one polarity, and if the polarity of the Power Supply is flipped to the opposite direction, then this could give erratic results.]
With this experimental setup, current can not produce a magnetic field that wraps only according to the Right Hand Rule. On the hemisphere where the current is entering the sphere it will act according to the Left Hand Rule. On the hemisphere where the current is exiting the sphere it will act according to the Right Hand Rule.
If this experiment shows alternating magnetic fields, then it supports how The Ball of Light Particle predicts electric and magnetic fields will be aligned on a conducting sphere, in traveling spherical electromagnetic waves, and in standing spherical electromagnetic waves. Since the direction of the electric and magnetic fields solely determine the direction of the cross product:

then, the gravitational field vector G must point to the center of the sphere in spherical electromagnetic waves.
Since this video is very important physical evidence of The Ball of Light Particle, I decide to render it 3 different sizes. You can decide which version you would like to download. All three videos show the same footage. The modem version is compressed the greatest. The screen shots show the screen size of videos.
|
The Ball of Light Particle Compressed for: Modem Kind: mpg File Size: 2 MB |
![]() |
|
The Ball of Light Particle Compressed for: DSL/Cable Low Bandwidth Kind: mpg File Size: 4.8 MB |
![]() |
|
The Ball of Light Particle Compressed for: DSL/Cable Medium Bandwidth Kind: mpg File Size: 13.4 MB |
![]() |
This basic experimental test is a key concept in understanding my nuclear fusion reactor patents, and instabilities in fusion reactor designs.
Imagine a cone sweeping over a sphere as shown in the following animation.
Cone sweeping over Sphere
The intersection of the cone and sphere creates a loop that sweeps from pole to pole as shown in the following animation.
Loop sweeping over sphere
The electric and magnetic fields will align tangentially to the loop. I have tried to depict this in the following animation by hand drawing in arrows to represent the orientation of the fields. It is not a very smooth animation.
Try dragging the Time Marker on the QuickTime Controller to see how the blue arrows -- representing the Magnetic Field -- change direction at the equator of the sphere.
When a current sweeps over a sphere, the magnetic field has to change direction.
The Ball of Light Particle Model does not contradict traditional electromagnetics. In this example, the magnetic field really does obey the Right Hand Rule. It is simply obeying the "negative" of Right Hand Rule when it appears to be obeying the Left Hand Rule.
(Note, this experiment simply goes further than historical electromagnetic experiments by investigating electromagnetic waves on spherical geometries. It goes further than Maxwell's equations by including gravity.)
For example, Faraday's Law of Induction,

and its symmetrical law,

qualitatively state that,
a changing magnetic field induces an electric field,
and a changing electric field induces a magnetic field.
In almost all examples that I have seen of the flux of a magnetic field or the flux of an electric field, the area of the flux was held constant and the field's magnitude changed. In this example, it is the area of the flux that varies. When the electric field expands over a hemisphere, the electric field's flux area is becoming greater, so the flux is becoming weaker. That is where the "negative" is coming from. This is why the magnetic field appears to obey the Left Hand Rule -- it is simply the negative of the Right Hand Rule. Again, this experiment using Ball of Light Particle Model does not contradict traditional electromagnetics, it expands on it.
(Also note that if a spherical standing wave of electric and magnetic fields -- a ball of light -- is accelerated in any direction, then the cross product of the two fields -- the vector G -- will increase. This explains the link between inertial mass and gravitational mass. The "at rest"**, or "moving at a constant rate"** ball-of-light has mass due to moving electric and magnetic fields sweeping over the elementary particle, the accelerating mass induces higher values. **With respect to an expanding sphere of light.)
My next video-taped experiment will show how a spherical electromagnetic field creates a force towards its center.